您现在的位置: 新语文 >> 市场营销 >> 营销攻略 >> 营销伦理 >> 正文
[组图]市场调研中的相关分析与回归分析(2)         ★★★ 【字体:
市场调研中的相关分析与回归分析(2)

作者:佚名     人气:550    全球最全的财富中文资源平台

(一)相关分析(2)
2.复相关与偏相关
  引入更多的因素变量是我们减少判断偏差提高准确度的方法之一,这就涉及到复相关和偏相关。为了方便后面的说明,这里我们先简单引入一下回归分析,借助回归方程来解释复相关系数和偏相关系数。有关回归分析的具体内容我们将在第二节作详细的介绍。
  如前面所提到的,在利用相关系数说明销售额Y与电视广告时数X之间联系,我们还可以借助直线方程式来说明。建立模型(在散点图基础上)
  
  如果一方程中所包含自变量个数超过二个,我们该回归为复回归,该方程为复回归方程。
  
   即为复相关系数(MultipleCorrelationCoefficient) 为复相关可决系数,在对于销售额,电视广告和销售代表人数之间关系的调查中 这意味着销售额中87.4%的变动差异与电视广告时数及销售代表人数变化有关,销售代表的引入提高了变量间的相关度,因为87.4%的变动可以用这两个因素说明而电视广告时数的不同只能说明77.5%的变动。同时, 说明三者之间存在强的关联度。
  所谓偏相关(PastialCorelation)是在测定n个独立变量对一个因变量的影响时,在排除其他变量的影响后,指定一个独立变量对这个因变量计算得的相关系数,称为偏相关系数,也可称为纯相关系数(NetConelationCoefficient),回忆在简单相关分析中有关销售额Y与电视广告X之间简单可决系数可以表示如下:
  
   这意味着在销售变动中有42.4%与电视广告无关的变动可以从销售代表数目变化中得出。相应的,在估计销售额与电视广告相关性时所犯的偏差减少了42.4%是源于销售代表数目作为增加项的引入。同样,偏相关可决系数的平方根即(一般只取正平方根)为偏相关系数。
  在这个例子中存在二个自变量X1,X2,因此我们可以定义有关于销售代表数目X2的偏相关系数为 ,我们可以类似的方法推算出有关电视广告的偏相关系数 。它表示在充分考虑X2与Y相关度后加入因素X1对于Y整个变动差异的影响或增加的边际贡献
   
  之所以我们要借回归方程来解释复相关和偏相关系数是想说明各系数所代表的经济意义,并不是求相关系数非要得出回线方程不可。但从计算简便以及经济含义角度,我们经常选择两种方法一起使用。
  样本相关系数的分布和测验
  在假定两变量(x,y)的组合总体适合于正态分布(三度空间的立体正态曲面)的条件下,x与y的相关系数r的抽样分布是随着两个因素——样本单位数n与总体相关系数P的不同而变化着,不过总的说来,r分布的形态是属于各种各样的。
  如把总体相关系数p分成三类:P=0,P=0.50以及P=0.90,在不同的n条件下,r的分布形态是:
 


            图9-3   
            图9-4
  
            图9-5
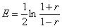
  由于r分布的偏态形态,作实际测验的计算时,比较困难,英国著名统计学家埃·爱·费煦为了补救这种复杂计算的缺陷,用变量E代替r,替代公式为:
  
  其中ln表示以e为底的自然对数,对E的变量来说,它的分布接近于正态分布,因此,就可利用正态分布表作出测验。另外,费煦已经作出了r与E间的变换表格,所以计算就大大地简化了。
关于相关系数r的虚无假设的测验以及可信任界限的计算可举例如下:
例如:样本为35对数据时,求出r为0.80,试用5%的显著标准来作出总体相关系数ρ=0.90的虚无假设测验。先假定以虚无假设出发,r=0.80可能从总体ρ=0.90中抽出,如果概率超过5%,就接受这个假设,否则,就推翻这个假设。
  从附表我们查出r=0.80时,Z=1.099,并从同一附表中,找出ρ=0.90时,MZ=1.472,我们知道
  
  这里,Mz是在0.31与0.87之间,因此,P是在0.30与0.70之间,这个指标是以附表中0.31与0.87的正数值而获得的。
财富论今——新的理念  心的飞越   
  • 上一篇财富:

  • 下一篇财富:
  • 打造全球最全最实用的财富中文资源平台!     的理念   的飞越