您现在的位置: 新语文 >> 市场营销 >> 营销攻略 >> 营销伦理 >> 正文
[组图]市场调研中的相关分析与回归分析(3)         ★★★ 【字体:
市场调研中的相关分析与回归分析(3)

作者:佚名     人气:508    全球最全的财富中文资源平台

一、相关分析(3)
3.等级相关(RankConelation)
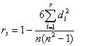
  有些时候,对现象或事物无法以精密数量确定其大小,轻重,只能以等级或次序排列出。例如,才智高低,事态轻重,色泽深浅,效率大小以及味道的好坏等,一般只能以等级排列。即使是精密的数据,有时也采用等级来测定它们之间的相互关系,这种关系一般是以等级相关系数来表示的,而在这些等级相关系数中,以司庇而曼(C.Spearman)的等级相关运用最为普遍。其公式为:
   
  其中:d=各对数据的等级差异
     n=样本的数据总数
  司庇而曼相关系数是针对于两个序数变量的,其中每个变量的数据已按一定标准划分成1至n个等级,如果 的和为0,那么rs=1。也就是说此时两个变量的等级是等价的。rs值由+1(完全正相关)变化到-1(完全负相关),其中若rs=0意味着彼此不相关。
  现有一个案例:在过去的几年间一家工业品营销公司一直从其总部附近地区的10所商科学校毕业生中招募销售人员,现在想确定这十所学校的相对名气与它的毕业生表现业绩之间是否存在关联。该公司的销售经理自己对这10所学校的声誉以及各自毕业生在本公司的表现进行了分级,这些等级评定情况见表9-4的第二列以及第三列。现在问题是各学校的名气与来自于各学校学生的销售业绩之间究竟有多大的联系呢?
借助于司庇而曼相关等级系数公式,我们可知: 
     
  rs的值为0.661表明两个等级排名之间至少存在一定的联系,那么这种联系在统计上显著吗?回答这个问题我们可以假定这10所学校是以商科学校总体中抽出的随机样本调查,然后检验以下检验:
 H0:PS=0
 H1:PS≠0
  PS为两个等级集总体相关等级系数,当n≥10时,以下的检验数据将是满足自由度为n-2的t-值分布: 
    
  因为t>2.31,所以我们拒绝H0并认为各商科学校的名气与其毕业生的工作表现存在真实的相关性。换而言之,样本中0.661的相关性不大可能由于偶然性而导致的。
  值得一提的是我们是根据不同等级对之间的等级差距来计算rs的,这种作法与认为构成序数尺度的数字之间的差距是没有什么意义的观点不同,事实上,在计算rs时我们已假设两个变量同等级的差距是具有可比意义的,如果这个假设前提不成立,那么司庇而曼等级相关系数也就没什么意义了。

财富论今——新的理念  心的飞越   
  • 上一篇财富:

  • 下一篇财富:
  • 打造全球最全最实用的财富中文资源平台!     的理念   的飞越