您现在的位置: 新语文 >> 市场营销 >> 营销攻略 >> 营销伦理 >> 正文
[组图]市场调研中的相关分析与回归分析         ★★★ 【字体:
市场调研中的相关分析与回归分析

作者:佚名     人气:600    全球最全的财富中文资源平台

九.市场调研中的相关分析与回归分析
  在研究具有相互关联的事件上,我们通常借助于相关分析和回归分析这两种统计方法,度量变量之间关联程度的方法叫相关分析。如果考虑的是两个变量之间关系时,称为简单相关;如果讨论一个变量与两个或多个其他变量的关系时,就称为复相关或偏相关,而回归分析则是根据已知的一个或一个以上变量(自变量)的值来估计另一个变量(因变量)的值,并且算出估计的误差。    
  尽管这两种方法在现实使用时可以互相替代,但仍然存在不同,相关分析只是测定变量之间的相关程度。它考虑的是随机变量之间的共同变动,而不必区分自变量和因变量,而回归分析是希望得出一个有关各个变量之间联系的数字表达式,其中只有目标变量因变量假设为随机变动,而自变量均为已知常数,正如探讨变量之间关联度不必推导出一个方程,我们也可以在不考虑变量关联度情况下做回归分析。一般而言,两种方法是混合使用的,统称为相关回归分析,下面我们将分别介绍这两种方法。
 (一)相关分析(1)
  1.简单相关
   探讨变量Xi,Yi间的相关关系时,可以先做出散点图(ScatterDiagram),以数标轴上的点代表Xi,Yi的一对观察值,这可以直观地考察变量之间联系程度,且有助于选择合适的估计模型。
对两个变量X,Y之间的简单相关,需要事先作出如下假设:
 ·两个变量均为随机变量,一个样本观察值同时包括X,Y的值。
 ·两个变量为联合正态分布。即在任何其中一个变量的观察值不变时另一个变量呈正态分布。
  如果两个变量X,Y的测定值为(X1,Y1),(X2,Y2)……(Xn,Yn),变量X,Y的平均数以 , 来表示,即:
 (i=1,2……n)
  
  
  经计算r在-1与+1之间变化。若X,Y完全正相关,一单位X的增加引得Y增加一单位,此时r=+1,反之,若X增加一单位导致Y减少一单位,两者完全负相关时,r=-1,有关情况如下表(9-1)。
        表9-1
  R=1     完全正相关
  0<R<1 正相关
  R=0     不相关
  -1<R<0 负相关
  R=-1     完全负相关
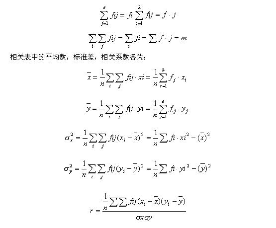
  如果数据较多,可把X与Y分别分组,用组的组中值为代表值,由于各组皆有不同的次数f,则X1,X2……Xi…Xk与Y1,Y2……Yj…Ye可作为两个变量的相关表(Correlationtable)。见表(9-2)。
XY X1 X2 …… Xi …… Xk 合计
Y1 F11 F21 …… Fi1 …… Fk1 F·1
Y2 F12 F22 …… Fi2 …… Fk2 F·2
┇ ┇ ┇ …… ┇ ┇ Fkj F·j
Yj F1j F2j …… Fij …… ┇ ┇
Ye F1e F2e …… Fie …… Fke F1
合计 F1 F2 …… Fi Fk N
  表中,F1,F2…Fi…Fk表示与Y无关的X的分布,F·1,F·2…F·j…F·e表示与X无关的Y的分布,这些分布都称为X,Y的边际分布(MarginalDistribution),其中有关符号是:
 


  有关相关分析或回归分析的说明可以通过实例来表达,也方便我们作进一步的探讨,现在有一个生产宝珠笔的全国性生产商家“Click”,正准备对本公司在市场营销方面的策略效率进行调查。该公司借助地区代理商来分销“Click”笔,同时通过派驻公司销售代表和播放电视广告来辅助代理商进行销售。现确定以每年地区销售额作为效率的评价尺度,而且有关各地区销售代表的信息和数据可直接从公司记录中获取,比较而言其它他们认为与销售额有关的特征因素——电视广告和代理商的绩效的判断就相对困难一些。为获得某一地区电视广告的情况必须对广告的时段和电视频道所覆盖的范围进行分析。代理商的效绩则要求按照一定的标准对代理商进行等级评分并以最后的加总分来进行判断,如4=优秀;3=不错;2=一般;1=差劲,考虑到获取这些信息所要花费的时间和费用,最后“Click”公司决定对销售地区进行样本调查。这次随机抽取40个地区的调查结果见表9-3。
  首先做散点图(9-3),表a表示销售额随每月电视广告时数增加时增加,而表b则显示当该地区销售代表人数变多时,销售额也随之上升,最后表C显示某一地区的销售额与该地区代理商的绩效没有太大的关联。表a和表b进一步表示销售额与各变量之间的关系呈直线关系,以Y表示销售额,X1表示电视广告,X2表示销售代表,现计算Y与X1的相关系数 以及Y与X2的相关系数 分别为0.87、,表明两者之间存在显著的相关性。                
              表9-3
         Click宝珠笔的地区调查结果
地区 销售额(千美元) 广告(电视时段/月)X1 销售代表人数X2
005 260.3           5        3
019 286.1           7        5
033 279.4           6        3
039 410.8           9        4
061 438.2           12        6
082 315.3            8        3
091 565.1           11        7
101 570.0           16        8
115 426.1           13        4
118 315.0            7        3
133 403.6           10        6
149 220.5            4        4
162 343.6            9        4
164 644.6           17        8
178 520.4           19        7
187 329.5            9        3
189 426.0           11        6
205 343.2            8        3
222 450.4           13        5
237 421.8           14        5
242 245.6            7        4
251 503.3           16        6
260 375.7            9        5
266 265.5            5        2
279 620.6           18        6
298 450.5           18        5
306 270.1            5        3
332 368.0            7        6
347 556.1           12        7
358 570.0           13        6
362 318.5            8        4
370 260.2            6        3 
391 667.0           16        8
408 618.3           19        8
412 525.3           17        7
430 332.2           10        4
442 393.2           12        5
467 283.5            8        3
471 376.2           10        5
488 481.8           12        5
              图9-2
销售Y          销售Y
    (千美元)              (千美元)
 


  在讨论相关系数时,我们更常使用另外一个概念——可决系数R2,相关系数的平方。通过一系列代数运算,R2的公式可表示如下:   
  正如在统计上要考虑样本值与总体值之间的差异,这里我们也必须测定可信程度的大小在我们接受样本值r值为整个销售地区的调查结果,这需要对r的显著性作假设检验。假设p表示相应未知的总体相关系数,我们计算以下的t—统计量:
  
  因为置信度а=0.05,自由度为38,则临界值r=2.02或r=-2.02判别的标准为:如果r>2.02或r<-2.02,则拒绝假设,由此可知,无论是Y与X1还是Y与X2都应拒绝假设H。
  尽管在判断联合变化的相关度时,简单相关系数很有用,但仍有二点有关它的运用需要说明。首先,样本相关系数低或未能通过t-值显著性检验并不意味着两个变量一定没有联系,这只能说明它们缺乏线性联系,如图9-4所示,该散点图清楚地表示变量X与Y之间存在强的U-型线变化关系。然而在这种情况下得出的简单相关系数却可能接近于0,仅仅由于当将这些样本点联系起来考虑时呈现不出直线性联系。所以,即使简单相关系数非常少或不具备统计意义上的显著性,我们仍可以进一步对可能存在的非线性联系(曲线相关)作探究,尤其是有关经验或理论显示两者应该存在联系。也许研究曲线相关最简单的方法就是进行描点作散点图分析。
       图9-3   
   


  其次,正如有关统计书上指出的,简单相关系数本身的存在并不足以推断变量之关联变动。例如,销售额与电视广告时数之间的相关系数为0.87并不保证当广告时段数上升会导致销售额的上升,尽管它试图得出这个结论,相关所说明的唯一的事是在所调查的40个地区中有关这个两个变量数据变化的模式是相近的,但这很有可能源于销售额与电视广告时数间的偶然性联系。比如,对于各个地区销售额的水平的预期会在一定程度上决定各地区广告时数高低水平,因此除非其它相关因素保持不变或其影响已计算在内,否则仅依靠简单相关系数来推断变量间的联系是十分危险的。
财富论今——新的理念  心的飞越   
  • 上一篇财富:

  • 下一篇财富:
  • 打造全球最全最实用的财富中文资源平台!     的理念   的飞越