您现在的位置: 新语文 >> 市场营销 >> 广告销售 >> 培训教材 >> 正文
[组图]农产品市场预测的系统模型           ★★★ 【字体:
农产品市场预测的系统模型

作者:佚名     人气:494    全球最全的财富中文资源平台

为了对农产品市场作出全面预测,本文从理论上建立了一个系统模型,该模型包括农产品投入市场、农户农产品生产和需求、流通厂商对各种市场投入的需求和供给、消费者的最终农产品需求和供给构成。同时,为直接反映农产品市场的变化,本文在最后给出了反映农产品市场变化的弹性模型
  1引言
  农产品市场的准确预测对指导农业生产、农产品流通和农产品消费有重要作用。但我国现有对农产品市场的预测研究主要是围绕直接需求和农业生产单位的供给研究,缺乏对派生需求和产品最终供给的研究,缺乏对农产品农户供给、市场流通和消费需求的系统研究。所以,为增加农产品产量和稳定农产品市场,政府采取的措施往往是针对农户供给、市场流通和消费需求中的某一个方面,而忽略政策对其它方面的影响,或者是考虑到了政策对其它方面的影响,但是缺乏量化信息。故政府干预农产品市场的政策往往不能收到预期效果,甚至顾此失彼,恶化原来形式。
  针对这一问题,本文从经济学的利润最大化和均衡理论出发,建立一个由农产品生产的各种投入市场、农户农产品生产和需求、流通厂商对种市场投入的需求和供给、消费者的最终农产品需求和供给构成的系统的农产品市场模型,从理论上探讨对农产品市场的预测。 
  2农产品生产者面对的农产品市场
  在市场经济中,资源的合理配置是通过价格机制作用来实现的。农产品的生产亦不例外。从微观上而言,农产品生产者,包括农户和集体,都是追求利润最大化的理性生产者。  
   
   
   
  3消费者面对的农产品市场
  具有理性的消费者是效用最大化的追求者,总是根据农产品零售价格Pr和其它因素M,如预算约束和其它消费品的价格来确定自己的农产品消费量。对消费者的效用函数求条件最大值,得到农产品消费量  
   
  农产品流通者面对的农产品市场农产品的生产和消费在时间和空间上都存在着矛盾。生产出来的农产品必须经过农产品收购、储存、加工、运输、销售等过程才能到达消费者手中。也正是通过这一过程,农产品生产者和农产品需求者才能分别实现自己的利润和效用。但是,流通过程并不仅仅是将农产品从生产者手中经过一系列过程送到消费者手中,参与农产品流通的理性厂商也正是通过对农产品的收购、储存、加工、运输和销售等活动,来实现自己的利润。  
   
  其中Z代表影响各种市场投入的其它因素。市场投入需求和市场投入的供给均衡同时又可以确定市场投入的价格,并最终影响到流通厂商对农产品流通的参与程度,关系到农产品从农户到消费者手中的稳定供应。
  4农产品市场预测的系统模型
  前三部分是从局部均衡分析的方法来逐一阐述农产品市场。下面我们用一般均衡来分析农产品市场。完整的农产品市场实际上是通过4个市场均衡来实现的,这4个市场分别是由农产品生产的各种投入市场、农户农产品生产和需求、流通厂商对各种市场投入的需求和供给、消费者的最终农产品需求和供给构成。  
   


   
  上述农产品市场模型是包括8个方程,8个内生变量的联立方程模型。只要这4个市场中任何一个市场中的供给和需求发生变化,都会通过价格的变化重新形成4个市场的均衡。在取得所需农产品生产、流通和消费数据后,对上述模型进行估计,可以得出农产品产量、农产品收入、市场投入和最终农产品数量以及对应价格,因而可以对农产品市场进行预测。 
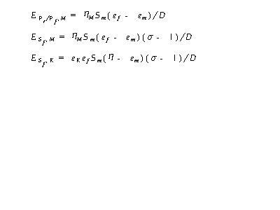
  5农产品市场变化预测的弹性模型
  为了对农产品市场变化进行预测,我们可以对上述模型进行整理,整理成弹性模型。为预测方便起见,同时不失准确性,本文以模型中的后6个方程举例说肯。所用符号意义如表1所示
   
   
   
预测   刘晓昀,辛贤  
财富论今——新的理念  心的飞越   
  • 上一篇财富:

  • 下一篇财富:
  • 打造全球最全最实用的财富中文资源平台!     的理念   的飞越