您现在的位置: 新语文 >> 市场营销 >> 广告销售 >> 培训教材 >> 正文
[组图]高技术产品市场预测方法研究:以移动电话为例         ★★★ 【字体:
高技术产品市场预测方法研究:以移动电话为例

作者:佚名     人气:838    全球最全的财富中文资源平台

对高技术产品的需求预测,是高技术投资决策的关键,本研究从时间序列分析和因果关系分析出发,提出了高技术产品需求预测的多因素、多模型的分析方法,并以典型高技术产品移动电话为案例,对浙江省1996年到2000年移动电话的需求量进行了预测,得出了较为满意的结论。
  1 高技术产品市场需求的预测方法与模型
  目前,对高技术产品的科学预测,是其投资的决策正确与否并取得最佳经济效益的关键,已成为广大高技术企业管理者关注的重点。我们认为,要对高技术产品的需求作出准确的预测,首先要准确地把握影响高技术产品需求的各个主要因素及其相互关系。在当今社会经济发展的大背景下,单一因素的分析显然难以获得满意的结果。一般地说,高技术产品的需求随着时间的变化,可能要受到两类因素的影响:一类是对高技术产品的需求起主导作用的规律性因素;另一类是对高技术产品的需求起辅助性和临时性作用的偶然性因素。一般可以用时间序列分析预测方法,来消除偶然性因素的影响,揭示事物发展的主规律,进而对事物的发展作出预测。在预测过程中,经常要研究事物的发展与众多变量之间的关系,即被解释变量(因变量)与解释变量(自变量)的总体平均数之间的函数关系。因果关系分析预测方法就是把所有的经济现象与其他的相关因素联系起来进行分析,从而揭示出模型的因果关系。
  本研究同时采用了以上两类方法进行预测。根据高技术产品需求的大致趋势,时间序列分析预测方法主要采用了生长曲线法和指数平滑法;而因果关系分析预测方法采用了多元线性回归法,对高技术产品的需求进行因果分析,揭示出影响高技术产品需求的主要因素。为了提高预测可信度,进一步验证预测所考虑的影响高技术产品需求的主要因素有效性,本研究又采用了灰色系统预测模型,还用一元线性回归方法对所有主因素进行了分析。
  在运用上述生长曲线法、指数平滑法、多元线性回归法、一元线性回归法、灰色系统预测模型时,我们发现如果单独使用其中一种方法对高技术产品的市场前景进行预测,存在一些不足。
  生长曲线法和指数平滑法主要从高技术自身的增长趋势出发,反映了高技术内在的增长动力,对高技术产品产生初期的预测有较好的描述,但这两种方法忽视了影响高技术的社会经济因素,故不能全面刻画高技术产品与社会、经济的关联性。
  因果关系分析预测方法如多元线性回归法、一元线性回归法等对移动通信进行因果分析,揭示出影响高技术产品的主要因素,但这两种方法对相关数据的长度、准切性要求较高,过短且不精确的数据带来了不同的相关因素,另外,这些方法还要求对各相关因素进行预测,如果预测不准,所得的综合预测结果的精度同样受到影响,为此带来的工作量较大,预测人员也需要对统计的检验等概念有明确的了解,因此对运用这些方法的要求较高。
  灰色系统预测模型,适用于有增长趋势的产品预测,但预测的原始数据要求较长,对取值的间隔也较为敏感,因此,也需要预测人员有较高的预测技巧。
  为了克服上述独立方法的不足,需要将上述预测方法加以综合,即:对于同一个预测目标,可以采用几种独立的不同预测方法对其进行预测。但是,如果我们只采用了其中一个预测结果,而把其余的预测结果简单地抛弃,则未免可惜。这不单是因为我们花了不少劳动,更重要的是任何一种方法,只要运用适当,总会或多或少地提供某些有用的信息。为了避免花费太多的精力选择预测方法,也为了避免盲从某一方法的结果,近年来国内外预测研究者热衷于研究开发把不同预测方法结果进行组合的方法。
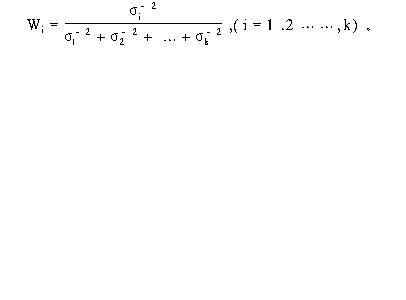
  组合预测的数学模型为:假定Y1,Y2,…Yk是K种互相独立的不同方法关于Y的预测结果,这K种预测方法对于Y都是无偏估计,它们的预测误差分别为  
   


  令组合预测为Y’=W1×Y1+W2×Y2+…+WK×YK;其中:0<Wi<1,(i=1,2,…,K),W1+W2+…+Wk=1。那么,组合预测Y’具有如下性质:
  性质1:组合预测Y’对于Y也是无偏估计;
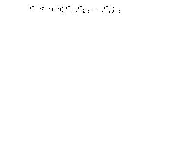
  性质2:组合预测Y’一定优于单一预测,即:  
   
  性质3:组合预测Y’的组合权重计算公式如下:  
   
  因此对高技术产品需求预测的一种比较有效的研究方法可以用图1表示。  
   
  2 对移动电话发展预测的案例
  移动电话是80年代初期在美国、日本和其它西方国家兴起的一种高技术的先进通信技术。移动电话产业也是一个高技术产业,它的出现引起了世界通信技术与社会经济发展的巨大变革。这是因为,移动电话的出现,不仅打破了电话通信的传统格局,而且改变了通信的内涵,那就是它实现了通信由固定、静态形式向移动、动态形式的转变。由于移动电话具有灵活性、实时性、简便性、高效性等一系列优点,决定了它的社会和经济效益相当高。因此,它作为陆地固定电话网的拓展和延伸,自80年代中期开始投放我国市场后,发展速度异乎寻常,普及也相当迅速。自1993年以来,中国的移动电话用户数每年以89%~265%的速度增长,截止到1997年底,中国的移动电话用户数已经达到1323万户,详见表1。  
   
  但是,移动通信又是一项投资巨大,收益与风险共存的技术。除了分析技术发展的内在推动因素外,还必须根据当地经济、社会、人口发展的格局与趋势,采用多种预测方法,分析影响移动通信发展的社会经济因素,并对移动电话的发展需求作出较科学的预测,以确定合理的投资与定位,避免移动通信发展中的盲目性和短期行为。
  为了促进浙江省经济、社会的持续发展,合理规划移动通信事业的发展,本研究运用生长曲线法、指数平滑法、灰色模型法、多元回归法、一元回归法以及在此基础上的组合预测方法,综合分析与预测浙江省2000年移动电话的市场需求量、影响浙江省各地区移动电话发展的社会经济因素,并提出相应的战略性对策,为合理地规划浙江移动电话的发展速度与规模,更好地发挥移动通信在经济建设中的作用,提供了较为科学和详实的决策依据。
  具体的预测过程中,考虑到浙江省各市(地)经济、文化、人口、地理条件具有不同的特点,对移动电话用户的数量会有不同的影响,从而采取了对11个市(地)分别预测最后线性合成的方法。下面以杭州市为例,说明几种主要方法的运用。
  2.1 生长曲线法
  根据历史数据,杭州市移动电话龚珀兹方程为:
  移动电话数量  
   


拟合方程的判定系数为  
   
龚珀兹模型的杭州市移动电话预测值如图2所示。
   
  2.2 指数平滑法
  在分析杭州市移动电话数据时,还可以发现其增长趋势具有明显的高幂次特征。为此,考虑采用三次指数平滑法,其基本方法是在二次指数平滑的基础上再进行一次平滑,并对二次多项式的参数作出估计,从而根据估计方程式进行预测。布朗二次多项式三次指数平滑公式为:  
   
   
  以杭州为例,经过统计分析与选择检验,可以选取杭州市移动电话销售量为被解释变量,并选取以下解释变量,包括人均第三产业国民生产总值(GNP3)、银行存款余额(BANK)、全社会固定资产投资总额(ESTATE)、城镇居民人均收入(INCOME)、市话装机总数(PHONE),从而得到如下回归方程:  
  移动电话销售量Y=-333.1159+12.40500×GNP3-204.1048×BANK-202.6095×ESTATE+3.342907×INCOME+0.129766×PHONE  
  其统计指标如表2所示:  
   
  回归方程的总体统计指标为:
   
  D-W检验值=2.882045;
  F-检验值=54.08339。
  分别对回归方程的解释变量进行预测,求得到杭州市移动电话各解释变量的预测值,如表3所示。根据回归方程,结合表3可以得到杭州市移动电话的预测,如图4所示,单位为部。图4 杭州市移动电话多元回归预测  
   
   


  2.4 组合预测法
  对曲线模型、三次指数平滑、多元回归模型和灰色预测模型的预测值进行组合,从而求得杭州地区的移动电话数预测值。首先,求得各预测模型的组合权重,如表4所列:
   
  根据表4中各预测方法的组合权重,以及它们的预测值,可以根据组合预测计算公式求得杭州市移动电话需求量的组合预测值。根据上述预测方法,最后可以得出全省11个市(地)1996-2000年移动电话需求量的动态变化数值,如图5所示。  
   
  预测所得数字与1997年实际数字902627的差值为9.7%,应应该说有较好的吻合度,但由于高技术领域竞争激烈,市场瞬息万变,应该考虑对预测结果进行滚动修正。为此,我们也使用上述方法加以跟踪,取得了较为满意的结果。
  3 结论
  与展望对高技术产品的发展,由于风险与机会并存,必须在定性研究的基础上进行较科学的定量分析与预测。
  对高技术产品的需求作出准确的定量预测,要恰当地把握影响高技术产品需求的各个主要因素及其相互关系。要善于运用生长曲线法和指数平滑法等方法分析预测高技术产品的主导趋势;采用多元线性回归法,对高技术产品的需求进行因果分析,揭示出影响高技术产品需求的主要因素。为了提高预测可信度,需要将上述预测方法加以综合,进行组合预测分析,这是预测操作中的关键步骤。另外,注意动态跟踪,定期滚动修正亦很有必要。
  根据上述思路,本研究对浙江省移动电话的预测基本准切,为中国电信的上市及浙江省电信业务部门的产品投资决策提供了较为科学的依据。
科研管理   许为民,张钢,胡欢刚  
财富论今——新的理念  心的飞越   
  • 上一篇财富:

  • 下一篇财富:
  • 打造全球最全最实用的财富中文资源平台!     的理念   的飞越