您现在的位置: 新语文 >> 市场营销 >> 广告销售 >> 培训教材 >> 正文
[组图]轿车市场短期需求的多层次灰色预测方法         ★★★ 【字体:
轿车市场短期需求的多层次灰色预测方法

作者:佚名     人气:594    全球最全的财富中文资源平台

本文提出一个新的实用多层次灰色预测方法,并用此方法预测了中国轿车产品短期市场需求
  1引言
  市场经济的特点,决定企业要以销定产.因此,有必要对市场需求状况进行预测,以决定企业生产规模、产品品种等.近年来,中国轿车的需求已由公用车走向家庭用车,因此,轿车的需求量会越来越大.长期以来的供不应求(指产量和质量),使得中国的轿车保有量中,进口车占有相当大的比例,而中国未来的轿车市场已由潜在需求变为现实的市场.因此,我们必须研究市场、开发产品,力争占据国内轿车市场,抵挡进口车对国内轿车市场的冲击.
  影响轿车市场需求的因素有很多,大体上分为企业外部环境因素和企业内部因素.企业外部环境因素又可分为竞争对手因素、市场需求因素、政策法规因素;企业内部因素又可分为成本因素、质量和售后服务、产品结构和造型工艺等.对这些因素影响轿车需求大小的确定,要由专家给其分值.但是,由于各个专家知识水平和认识的差距,因此,打分会产生偏差.所以,用多层次灰色预测法进行预测会更反映实际.本文采用多层次灰色预测法预测轿车市场短期(年月日)内的销售趋势,可以使轿车的研制、开发、生产符合市场需求,从而提高国产汽车的市场占有率.
  2评价指标体系
  影响轿车需求有多个因素,概括起来包括两大类,即企业外部环境因素和企业内部因素.而每个因素又分解成三个指标(见图1).
  根据层次分析原理,这是一个由多个预测指标按属性不同分组,每组作为一个层次,按照最高层(目标W)、中间层(一级预测指标Ui=1,2)和最低层(二级预测指标Vij,i=1,2;j=1,2,3)的形式排列起来的三层次预测指标体系.  
   
  一级预测指标Ui(i=1,2)的集合u={u1,u2};二级预测指标V1j(j=1,2,3)的集合V1={V11,V12,V13};二级预测指标V2j(j=1,2,3)的集合V2={V21,V22,V23};W代表预测目标(轿车需求量)的综合预测值. 
  3多层次灰色预测法
  3.1多层次灰色预测方法的具体步骤
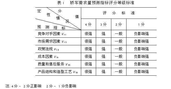
  1)制定预测指标Vij的评分等级标准预测指标Vij是主观指标(定性指标),将定性指标转化成定量指标,即定性指标量化可以通过制定预测指标评分等级标准来实现.
  2)确定预测指标Ui和Vij的权重
  3)组织预测者评分
  选择专家(预测者)时,要考虑专家们的代表性.一方面应根据销售预测所涉及的领域去选择有关专家,不但要邀请对销售比较熟悉的业务人员,还要邀请对国民经济发展比较熟悉的经济部门和研究单位的人员.另一方面,要考虑到专家所属部门和单位的广泛性.
  4)求预测样本矩阵
  5)确定预测灰类
  确定预测灰类就是要确定预测灰类的等级数、灰类的灰数及灰数的白化权函数.
  6)计算灰色预测系数
  7)计算灰色预测权向量及权矩阵
  8)对V1和V2作综合预测
  9)对W综合预测
  10)计算综合预测值
  3.2确定预测指标Ui和Vij的权重
  按上述预测指标体系预测时,预测指标Ui和Vij对目标W的重要程度是不同的,即有不同的权重.对于这些预测指标权重的确定,本文采用层次分析法(AHP法),通过成对比较并借助九级分表建立互反矩阵,然后求出它的相应于最大特征值的归一化特征向量,把它的分量作为权系数的方法解出.  
   


  本文将预测指标V1j(j=1,2,3)和V2j(j=1,2,3)按影响强弱划分为7级,表1给出了4、3、2、1分标准,指标等级介于两相邻等级之间时,相应评分为3.5、2.5、1.5分.  
   
  本文层次结构图如图1所示,图中每一层的各个因素旁所标的是代号.先对第一层的两个因素a1,a2(依次表示为企业外部环境因素、企业内部因素)进行比较,经专家裁定:  
   
  容易求得它的最大特征值为2,与之相应的特征向量经归一化后为(0.833,0.167),它的两个分量分别是因素a1和a2的权系数,并将它们填在层次结构图中相应的联线上.
  在第二层中与U1相关的三个因素a11,a12,a13进行成对比较,a11/a12=1,a11/a13=5,a12/a13=6,于是得互反矩阵  
   
  相应的特征向量归一化结果为a11=0.4442,a12=0.4722,a13=0.0836.这就是所要求的第二层的三个因素的权系数向量.
  在对第二层中与U2相关的三个因素a21,a22,a23进行成对比较,a21/a22=3,a21/a23=5,a22/a23=3得如下的逆称矩阵511第8期轿车市场短期需求的多层次灰色预测方法  
   
  容易求得A2的最大特征值为3.087,与之相应的特征向量经归一化后为(0.6327,0.2581,0.1092).这就是所要求的第二层的三个因素的权系数向量.
  预测指标Ui(i=1,2)的权重向量A=(0.833,0.167),预测指标V1j(j=1,2,3)的权重向量A1=(0.4442,0.4722,0.0836);预测指标V2j(j=1,2,3)的权重向量A2=(0.6327,0.2581,0.1092).
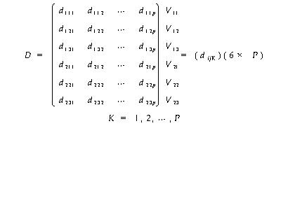
  3.3样本矩阵D的求法
  设预测者(返回问卷调查表的专家)序号为K,K=1,2,…,P,即有P个预测者.根据预测者评分表,即根据第K个预测者对预测目标(轿车需求量)按预测指标Vij给出的评分dijK,求得预测目标的预测样本矩阵D.
   


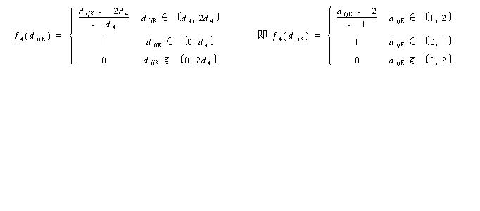
  3.4确定预测灰类及白化权数
  设预测灰类序号为e,e=1,2,3,4,即有4个预测灰类,它们是“旺销”、“畅销”、“平销”、“滞销”四级,其相应的灰数及白化权函数如下:  
   
   
  3.5计算预测灰类系数
  对于预测指标Vij,预测目标属于第e个预测灰类的灰色预测系数,记为Xije,则有  
   
  3.6决策矩阵R的求法
  所有预测者就预测指标Vij,对预测目标主张第e个灰类的灰色预测权,记为rije,则有
   
  3.7计算综合预测值
  1) 对预测目标的V1和V2作综合预测,其综合预测结果记为B1和B2,则有   
   
  根据W的值,判断市场上产品销售情况.如果3.5≤W≤4,则表明市场上该种产品旺销;如果2.5≤W<3.5,则为畅销;如果1.5≤W<2.5,则为平销;如果W<1.5,则为滞销. 
  4应用实例
  对中国某月份轿车市场调查,设参加评分的专家有6个,我们根据专家们的评分求得预测样本矩阵.  
   
   
  5两点说明
  1)上述指标体系还可以分解成四层,指标体系细划会使预测结果更精确.本文指标体系只是一个示例,意在讲述预测方法.增加指标的层次,上述方法仍可使用.
  2)本文实例是预测某月的轿车市场需求的,预测结果可以指导轿车组装生产的安排.如果想得到某季度或某年的预测结果,以便安排零部件的生产和进口,仍然可以使用上述方法,由于篇幅的限制,这里不再阐述.
系统工程理论与实践   李松,杨庆芳,李霆  
财富论今——新的理念  心的飞越   
  • 上一篇财富:

  • 下一篇财富:
  • 打造全球最全最实用的财富中文资源平台!     的理念   的飞越