您现在的位置: 新语文 >> 市场营销 >> 广告销售 >> 培训教材 >> 正文
[组图]市场潜量预测方法初探         ★★★ 【字体:
市场潜量预测方法初探

作者:佚名     人气:742    全球最全的财富中文资源平台

主要分析当企业在生产经营过程中,面临着开发一种新产品或扩展新的市场区域时,如何对其市场潜量作出科学的预测而提出的一种有效且实用的参数n的确定方法.
  市场潜量是指在特定的营销环境下,随着行业营销活动的强化及不懈努力,某类产品的市场需求所能达到的最大极限(或称为最高市场需求)对于任何一个从事商品生产经营活动的企业来讲,当它将要开发一种新产品或向新的市场区域扩展时,都事先对该种产品的市场潜量作出科学的预测分析在此基础上建立一种数学模型来计算该种产品能给企业带来的经济效益,从而为企业进行经营决策提供可靠的依据因此市场潜量预测是企业开展营销活动的重要环节,是企业进行科学决策的前提条件如何做好市场潜量的预测分析,首先必须采取一种科学有效的预测方法,保证其预测指标的准确性与实用性本文旨在对市场潜量预测模型Q=npq的参数n的确定方法进行探讨,力求提高市场潜量的精确度,从而为企业生产经营决策提供可靠的依据
  1 现行市场潜量预测模型中参数n的确定方法中存在的问题现行市场潜量预测模型为:
     Q=npq
式中:Q—市场潜量;
   n—假定条件下,在特定的产品市场上购买者的数量;
   p—单位产品的平均价格;
   q—每个购买者的平均购买量
  用上述模型预测市场潜量时,其中主要的且较难确定的参数是n.通常的做法是,先从该种产品市场所涉及的总人数着眼,从中排出那些被认为是显然不会进行购买的人数,然后再对余下可能购买者加以分析这种分析需要从不同角度加以综合分析如从消费者的社会文化特性,或者从消费者的收入水平着眼,或从消费者的生活需求等方面加以分析并筛选,从“可能购买者”中进一步是剔除,最后剩下那些“最可能购买者”,于是使用“最可能购买者”的人数作为参数n的估计值
  虽然上述确定参数n的方法简便易行,但是对参数n的估计值的可信程度缺少一定的概率保证,加上有其主观臆断因素的影响使得预测结果的可信度也就无法保证为此有必要对参数n的确定方法进行改进,增加预测结果可信度的概率保证,从而对市场潜量的预测更加准确与可行
  2 参数n估计值确定方法的改进
  为了进一步提高预测结果的可信度,就必须对参数n的估计值给出在一定置信概率保证下的置信区间为此可以采用抽样技术中分层抽样的方法,对参数n进行比率的比估计.
  设N为某种商品市场所涉及的总人口数,r表示购买者的人数占总人数的比率则购买者的人数
             n=rN
  按一定的标志对该种商品的市场进行细分所谓市场细分,是指根据购买者需求与购买行为的不同特征,把整个市场划分为若干具有类似性的消费者群,以便选择和发现本企业的目标市场,从而达到占有市场和扩展市场之目的。假设按一定的市场细分变数(即市场细分标志)将整个该商品市场细分为L个子市场,每个子市场所含人口数为Nh(h=1,2,…L)且∑Lh=1Nh=N.上述市场细分就相当于把总体划分为L个层,因此以下简称子市场为层  
   
   
   


  为了便于大家对上述提出的预测方法有一个更为直观的了解,现举例分析如下
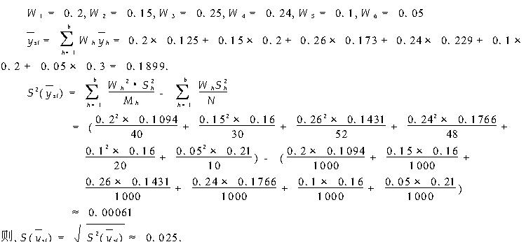
  例 某企业开发一种民用型新产品,假设该种产品市场所涉及的人口总数为1000人,按人口变数即年龄和性别为分层标志将整个市场细分,其市场细分结果如表1所示.  
   
  采用等比分层抽样方法进行抽样的结果如下表2所求  
   
  由表2可知:
   
   
  由上而预测结果可知,购买该种新产品的人数约为140人~238人之间
  注 运用分层抽样比例估计的方法确定参数n,在对市场进行细分时,应注意的问题是细分市场的各种统计资料应是比较容易获得的此外,市场细分子市场的个数应考虑问题要求的精度和预测费用
辽宁师范大学学报(自然科学版)   刘青  
财富论今——新的理念  心的飞越   
  • 上一篇财富:

  • 下一篇财富:
  • 打造全球最全最实用的财富中文资源平台!     的理念   的飞越