您现在的位置: 新语文 >> 市场营销 >> 广告销售 >> 培训教材 >> 正文
[组图]汽车市场调研资料整理与分析技术研究         ★★★ 【字体:
汽车市场调研资料整理与分析技术研究

作者:佚名     人气:854    全球最全的财富中文资源平台

介绍了汽车市场调研资料的整理、分析技术和资料整理的步骤,对描述性分析法和推断性分析法进行了研究,通过对实例的分析,提出了适合汽车市场调研资料的整理和分析的方法。
  在激烈的市场竞争中,企业如果想站稳脚跟,就必须适时掌握市场动态,分析市场发展趋势,以利于进行决策。为此,企业就必须进行市场调研,收集有关的资料、信息,此后,对这些资料进行整理,、分析,从中选取有用的信息,提供给决策者。资料的整理和分析方法很多,本文通过对实例的分析,提出了适合于汽车市场资料整理和分析的方法。
1 资料的整理
  一般来讲,资料的整理包括以下5个步骤:
1.1 校编
  校编工作是在汽车市场资料收集工作完成之后立即进行的,以便在发现问题时,调查员能够凭记忆加以妥善处理。校编的主要目地在于消除资料中的错误或含糊不清之处,使我们所收集的资料更加准确。
1.2 分类
  分类工作是研究的基础,分类必须科学,因为它直接影响到研究结果的真实性。实际上在设计问卷时,我们已经就某些方面对研究对象进行了分类。例如,在对汽车进入家庭这一问题进行调查时,在问卷上就对应答者从性别、年龄、职业、收入以及学历等方面进行了分类。这样有利于后来的资料整理,这是预先分类的方法。但是,有些资料不能采取这种分类方法。例如:采用自由问题和投影法等所得的资料只能在事后分类。1.3 编号
  编号是在分类的基础上,用数码来代表类别。在使用多项选择或二分法问题时,常采用预先编号法为类别编号。
1.4 制表
  制表的目地在于归纳和整理原始资料,使它们成为便于分析和使用的表格形式,常用的制表方式有单栏表和多栏表2种。单栏表的目的在于列出某一种特性的调查结果;而多栏表则可表示出2种或2种以上的调查结果。
  制表是一项技巧性很强的工作,尤其是对多栏表。表设计得好,各种特性及相互关系一目了然,给分析带来极大的方便;表设计得不科学,轻者自费力,重者可能将分析引入歧途。
1.5 计算统计值
  资料整理的最后一步是计算统计值。它是进行资料分析所必需的数据等。如:集中趋势、中位数、众数、标准差、频数等等。
2 资料分析
  技术汽车市场调研完成后,在资料分析阶段,市场调查人员所面临的第一个问题就是应该使用什么技术或方法分析资料。有许多统计方法和数学方法可以用于资料分析,在此,我们介绍描述性分析和推断性分析2种技术。
2.1 变量数目
  变量的数目不同,所选用的分析技术和方法也不同。根据一次分析变量数目的多少,分析技术可分为:一维分析、二维分析和多维分析。即一次分析1个变量为一维分析;一次分析2个变量为二维分析,一次分析3个以上变量为多维分析(见图1)。
   
2.2 描述性分析
  描述性分析的目的在于对样本所有元素或对某一变量的观察值进行概括性描述。描述是从2个方面进行的。一方面是样本资料的集中趋势;另一方面是样本资料的离散程度。这些描述是进行其它分析所必须的基本统计值。
2.2.1 集中趋势
  在分析资料时,用平均值、中位数和众数来描述集中趋势。
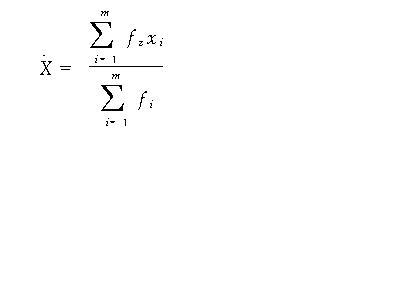
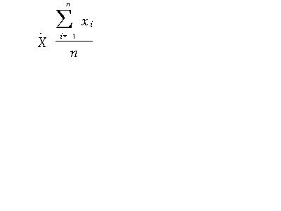
  (1)平均值。它是用来描述等差资料或等比资料的集中趋势。简单随机抽样的样本平均值等于样本各单位数值之和除以样本单位数。

   


  如果等差或等比资料是以组、群或层的形式出现,则可用下式计算平均值
   
  式中:fi为第i组、群或层中单位数目;xi为第i组、群或层中的中心值;m为组、群或层数。例如,在针对轿车的一项调查中,按应答者年龄来分有表1的数据及平均值X。
   
  (2)中位数。在我们所收集的资料是按顺序排列时,可以用中位数来描述集中趋势,所谓中位数是指按照某种特性的显著程度为样本各单位排序,位于中间的1个单位的数值就是中位数。如表2。
   
  (3)众数。众数可以用来描述类别量表资料的集中趋势,是指样本各类别中抽样单位出现频率最大的1个类别。如表1中,众数是指35~40以下的1组。
2.2 离散程度
  集中趋势并不能全面地反映变量的分布情况,例如,在数组5、15、10以上及数组18、12、10中,其均值都为10,但是,这2组的内部构成是极不相同的,为此,我们就必须了解有关变量分布的离散程度。
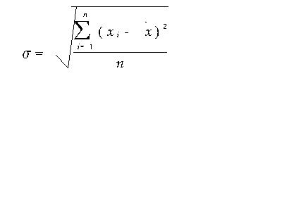
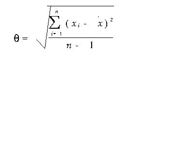
  (1) 标准差。用标准差来描述等差或等比资料的离散程度,标准差用下述公式表示
   
式中:n-1为自由度。
  当样本容量较大n≥30时,上式可简化为
   
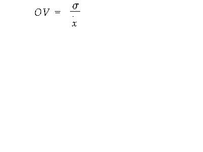
  标准差与平均值的比值为变异系数。

  
  (2)次数和频率。样本资料分布的离散程度,除用标准差描述外,也可用次数和频率来描述。
2.3 推断性分析
  推断性分析,就是通过样本状况来推断总体状况,即用部分来推断全体。
2.3.1 估计
  估计有2种,即点估计和区间的估计,本文只介绍区间估计。
  所谓区间估计,是指在一定的把握程度下,根据样本统计值和抽样平均误差,对总体统计值落入区间范围做出估计。把握程度称为置信概率,区间范围为置信区间。
  具体步骤如下:
   
  (5)查表求出置信概率。
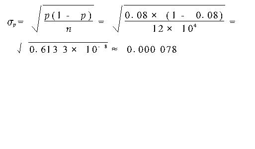
  [例]某市现有居民家庭240×10^4户,随机抽样12×10^4户进行调查,得知每100户中有8户拥有小轿车(不论车型,车牌)。现要求置信概率为95%,求出该市居民家庭小轿车保有量的置信区间。
  先计算标准误差:样本数n=12×10^4,样本成数p=0.08,则标准误差为
   


  再计算允许误差并推断总体置信区间。
  已知置信概率为95%,查表可得Z=1.96则Δp=2.6p=1.96×7.8×10^(-5)=1.53×10^(-4)  
  由此可算出每100户小轿车平均保有量的置信区间为
             p-Δp≤u≤p+Δp
  0. 08-1.53×10^(-4)≤u≤0.08+1.53×10^(-4)
即         0.07998≤u≤0.08002
换算为百分比        7.9%≤u≤0.8%。
  那么该市居民小轿车保有量的置信区间为
           N(p-Δp)≤M≤N(p+Δp)
         240×7.9%≤M≤240×8%.
      1. 896×10^4台≤M≤1.92×10^4台
2.3.2 检验
  上述估计值的可信度如何,需要进行检验,常用的检验方法有3种:牫检验,牠检验和卡方检验,限于篇幅,在此不做介绍。
3 结 语
  由以上分析我们可以看到,汽车市场调研资料的整理和分析过程为:
  (1)先将大量的资料按照一定的步骤进行整理,即校编、分类、编号、制表,计算统计值,这5个步骤不能互换,按照顺序一步一步进行。
  (2)在整理的基础上,进行分析。通过实例,分析了描述性分析法和推断性分析法在汽车市场调研资料中的应用。
  (3)描述性分析法和推断性分析法,比较适合于汽车市场调研资料的整理和分析,对汽车工业企业今后的应用具有指导意义。
西安公路交通大学学报   韩亮  
财富论今——新的理念  心的飞越   
  • 上一篇财富:

  • 下一篇财富:
  • 打造全球最全最实用的财富中文资源平台!     的理念   的飞越