您现在的位置: 新语文 >> 市场营销 >> 营销攻略 >> 营销伦理 >> 正文

[组图]量化营销—销售博弈模型           ★★★ 【字体:
量化营销—销售博弈模型

作者:吴祖庚     人气:339    全球最全的财富中文资源平台

   在一个销售循环中,客户决策过程和决策结果是完成销售的最重要环节。影响客户决策的核心因素是客户对所需产品的各种因素进行综合评估后,自我设定的综合性价比值。而影响这一性价比值的因素则分别有产品因素:如产品的基本性能、品牌形象、产品价格、销售渠道、售后服务等,以及客户自身的因素:如需求满足程度、决策习惯、决策环境等。在客户自我设定综合性价比值后,产品提供者就是这一综合性价比值的趋向者。当然趋向者也包括所有竞争对手。因此,销售决策的关键,就是分析、求证客户所设定的综合性价比值,并使产品向其无限趋近,同时还须对竞争对手的综合性价比值的趋近程度进行评估。

   一、 影响客户决策的核心因素

   1. 综合性价比是影响客户决策的最终因素

   在销售过程中,如果客户最终选择了A品牌,而没有选择B品牌或C品牌,表面看来有许多不同因素的影响,而这些因素又繁乱复杂、纵横交错,其间还相互影响和制约,因此难以界定各因素的主次及其对客户决策影响程度的大小。但如果我们从客户行为学的角度,对影响客户决策的因素进行分析和总结,就可以知道,客户最终选择了A品牌,而没有选择B品牌或C品牌,最根本的原因,可以归结为客户对所有进入其选择集合内的各品牌的“综合性价比”的取向。客户选择的原因是:A品牌的“综合性价比”相对最接近、甚至超出其自我设定的比值。


   “综合性价比”是一个广义的概念,与狭义的“性价比”不同。狭义的“性价比”仅指产品的性能与价格比,即,产品的功能、质量、技术等固有属性与产品价格的比值;而广义的综合性价比,包含产品的固有属性、品牌形象、销售渠道、售后服务及满足客户特殊需求(个性化服务)的能力等。

   2. 提高销量的根本方法就是改变产品的综合性价比值

   提高销量的根本方法就是改变产品的综合性价比值。在产品的固有属性不变的情况下,对品牌形象、销售渠道、产品价格、售后服务等进行调整,其目的就是改变产品在客户心中的综合性价比值。同时还需了解竞争对手的综合性价比值,并迅速作出回应,改变性价比的相对比率;广告与促销则是在客户作出购买决策的瞬间,影响其对产品综合性价比的判断。

   [如图-2]

   二、 综合性价比的构成要素及其对销售影响的原理

   除产品因素外,客户自身的各种条件也是影响综合性价比值的重要因素。因为,从根本而言,客户是综合性价比值(标准)的制定者,而产品是标准的趋近者。因此清楚地了解或判断客户的标准是改变综合性价比的最基础工作。

   1. 客户决策的三个核心要素

   虽然影响决策的因素较多,但根据消费行为学的理论,一般来说,最核心的要素一定不

   会超过三个;因此,要寻找影响客户决策的核心要素,就必须对客户进行分类研究。因为不同类型的客户,其判断标准是不一样的;而相同类的客户,其标准也一定有较大程度的类同。要完成客户分类,前提是确立科学的分类标准,而分类标准的确立则需要对客户进行调研分析,并在此基础上归纳和总结。

   2. 各要素的权重分配

   不同的客户在决策要素的选项上大致相同,但不同的客户对各要素的权重分配是不一样

   的,因此,需要找出不同类型的客户在要素权重分配上的不同规律。

[如图-3]:


   3. 客户的采购/决策习惯

   在无法清楚地了解客户对某一类产品的采购习惯之前,可以借鉴客户在采购其它相类似

   的产品时的采购习惯,如家中还没有电脑的客户,其采购其它大件家电(如彩电)时的决策习惯,就可能成为其下次采购电脑产品时的决策习惯。因为人们的行为习惯有一定的连续性,同时也有一定的共性。

   4. 决策环境的影响

   在一定的决策习惯的影响下,决策环境也是一个非常重要的因素,只有当决策条件、需求层次等都处于决策整体要求范围之内时,决策者才能在习惯的影响下做出判断。

   5. 客户对综合性价比值的评判模式(或各要素间的组合标准)。

   主要有以下几种:

   a) 全部及格法:即预先设定的条件(标准)下,所有选项(影响因素)都必须符合要求。

   b) 平均及格法:即所有选项(影响因素)的平均值达到要求即可。即使有个别选项(影响因素)不符合设定的条件(标准),也可以接受。

   c) 第一要素淘汰法:设定最重要的选项(影响因素)为第一要素,如果这一选项(影响因素)没有达到预定条件(标准)即被淘汰,其余因素无论分值如何,均不再选择。

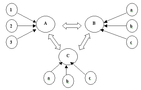
   三、模型结构图

   销售过程就是产品与竞争对手、客户的综合性价比值之间的博弈。其博弈模型如图:

   [如图-4]


   [解释模型]:

   1. A=客户自身设定的综合性价比值;B=产品综合性价比值;C=竞争产品综合性价比值。

   2. ①、②、③=影响客户决策的核心因素、决策习惯、决策环境;a、b、c=产品属性、品牌形象、销售渠道、售后服务等。

   3. 从理论上讲,B、C值不可能等于A值,只有无限接近A值。因此,当B值与A值相近,同时大于C值时,即可实现理论销售。

   4. 营销活动的根本目标就是推动B值向A值的无限接近,同时不断超越C值。

   5. 本模型的难点在于各要素的权重分配及A与B、C值的计算。

   四、模型功能实现过程描述

   1. 首先对现有客户或目标客户进行小规模抽样调研,确定科学合理的客户分类方法。

   2. 按客户分类方法对客户进行分类后,对客户进行调研,主要分析不同类型客户的决策习惯,寻找出同类客户的决策规律,并把这些习惯清楚地进行描述;同时分析不同类型客户对影响销售的因素在销售过程中被赋予的不同权重比值,确定同类客户的三个最核心决策要素。

   3. 在完成以上调研分析后,即可建立客户的综合性价比值分析系统,明确不同类型客户在不同时期、不同决策环境时的综合性价比取值,从而设计与指导销售活动。

   4. 根据对客户综合性价比值的分析,设定产品的综合性价比值的构成要素及其权重,并进行性价比值的变量计算。

   5. 对竞争对手及其经销商进行调研,了解其决策习惯,分析总结出竞争对手的综合性价比取值标准。

   6. 在系统能够完成对客户和竞争对手的综合性价比的分析后,就可以从中找出产品与客户需求的距离,以及与竞争对手的距离,从而适时作出对产品、品牌、价格、销售政策及售后服务的调整,以及对广告与促销的战略规划,实现销售过程的量化决策。

  以上是对销售博弈模型的简单介绍。在营销过程中,如果能引入科学的工作模型,一定可以取得事半功倍的效果。

财富论今——新的理念  心的飞越   
  • 上一篇财富:

  • 下一篇财富:
  • 打造全球最全最实用的财富中文资源平台!     的理念   的飞越