|
(三)样本容量 市场研究的客户经常不理解样本容量。对于每一个新客户,市场研究人员可能都需要花费大量的时间纠正对于样本容量和样本的错误概念。客户提出的一个典型问题是,“拥有17万名顾客,我们需要多少百分比得到一个精确的样本?”这是一个典型的错误观念。样本容量的决定与其说与总体容量不如说与客户的预算,研究目标,数据用途和报告的时间期限更直接相关。 样本容量与样本对总体的代表性无关。样本的代表性由抽样方法决定,不幸的是,许多管理人员错误地相信样本容量和样本代表性有关。 样本容量不决定代表性,然而影响结果的精确度。样本精确度指样本统计数据接近它所代表的总体真实值的程度。样本容量与样本统计量相对于总体真实值的精确度有直接关系。 1.简单随机抽样下的样本容量 简单随机抽样下获得的估计值是它们相应的总体值的无偏估计量。简单的情况下,如果我们假定无限的(或至少非常大的)目标总体,我们可以对简单随机抽样下在整个目标总体中测量的特征的平均值和方差作如下估计。
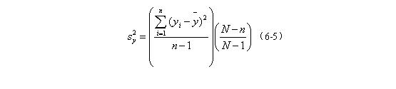
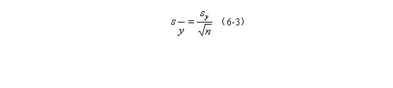
这里 n=样本容量 yi=对样本中第i个元素的某个特征的测量值 y=估计的平均值(总体平均值的无偏估计量) S2y=估计的样本方差(总体方差的无偏估计量) 一个估计的总体参数(例如,一个平均值或一个比例)的可靠性指它的再现性——一个总体参数的估计值在给定容量的不同样本中如何重复出现。假定没有测量误差,总体参数的估计值的可靠性能以标准误来判断。例如,样本平均值的估计的标准误以下式给出 与样本平均值相关的估计标准误越小,样本估计值的可靠性越大。 一个估计值的标准误能用于形成对于总体估计值的置信限制。为了构造置信区间,我们对于样本估计值的抽样分布必须做出一定的假设。对于足够大的样本容量(例如说n>30),样本估计值(例如平均值或比例)的抽样分布接近于正态分布,正态理论可用于为所估计的未知总体参数构建置信区间。例如,对于真实的总体平均值的一个适宜的百分之100(1-a/2)的置信区间是 出现在(6-4)中的所有符号,除了t,前面都已经定义,符号t指学生氏t-分布。我们用t-分布代替标准正态z-分布是因为在大多数情况下总体方差是未知的。t的值在学生氏t-分布表中n-1自由度中读取。如果样本容量大于30,那么t的值与在相同显著水平上从标准正态表中读取的z值相同。 前面这些公式严格应用于目标总体无限大的情况。当目标样本相对于目标总体较大时,这些公式将高估总体参数(平均值或比例)的方差(标准差)。无论何时目标样本占目标总体的10%至20%或更多,就应使用修正系数。有限总体修正系数(fpc)以()给出。fpc修正的方差公式是
 本质上,fpc依赖于n与N的关系,如果总体容量N非常大而样本容量n较小,那么fpc将接近1;另一方面,如果样本容量n接近总体容量N,那么fpc将小于1且将减小估计的总体方差的数值。在大多数消费者商品研究中,无限目标总体的假设是合理的——目标总体通常包括数以百万的个人或家庭。 在以一定精确水平估计总体参数时经常需要决定样本容量。决定样本容量的程序是 ①规定可接受的容许水平(h)。这是估计值与它的未知的实际总体值的差别。规定可接受容许水平的一种方法是取所需置信区间的一半。 ②决定可靠性系数(Z1-Z2),这个系数取决于所需确定性水平(1-a/2)。 ③取得在目标总体中测量的特征的标准差( )的估计值。这个估计值可以基于以前的研究,小规模的试验性研究,或主观猜测,或者取特征值估计的分布范围的六分之一(如果正态)。 ④应用下列公式求得所需样本容量n* 为了保证在预期平均值固定百分比范围内的估计值,应按照下列程序: ①规定可接受的相对容许水平(N),这个值表示为一个固定百分比(例如5%或10%)。 ②决定可靠性系数(Z1-a/2)。 ③取得在目标总体中测量的特征的变异系数的估计值。变异系数是对相对离散的测量,以给出,这里是总体平均值的实际标准差,是(实际的)总体平均值。为了决定所需样本容量的目的,获取在目标总体中的特征的预期平均值的估计值( )和该特征的估计的标准差( ),计算估计的变异系数 例 假设你作为一名初级分析员的职责的一部分是监督实现作业。特别的,你负有责任估计所有为你的部门执行购物街拦截调查的实地工作人员每天完成访问的平均数。为了决定样本中应包括多少实地访问,你抽取一个简单随机样本以获取每天完成访问数目的平均值和方差的样本估计值。表6-1列出了十五名实地访问人员每天完成访问的数目。  |